Lompat ke konten Lompat ke sidebar Lompat ke footer

Silabus Kemuhammadiyahan Smp Kelas 9 Semester 2 : Contoh Essay Kemuhammadiyahan Amat : Word bisa dilihat di halaman kemuhammadiyahan.

Silabus Kemuhammadiyahan Smp Kelas 9 Semester 2 : Contoh Essay Kemuhammadiyahan Amat : Word bisa dilihat di halaman kemuhammadiyahan.. 1 15 185 skkd tik smp kelas 7,8,9 semester 1 dan 2. Jadi saya berharap bagi bapak/ibu guru di harapkan dapat selalu di revisi sesuai dengan acuan revisi kurikulum 2013 yang berlaku sehingga dapat sesuai dengan harapan pendidikan saat ini. 0 0 4 prota tik smp kelas 7,8,9 semester 1 dan 2. Perlu anda ketahui bahwa silabus ips kelas 9 smp ini adalah salah satu komponen penting dalam bentuk perangkat. Tujuan tentang pembelajaran ips kelas 9 kurikulum 2013 revisi 2018 memiliki bentuk kompentensi yaitu:

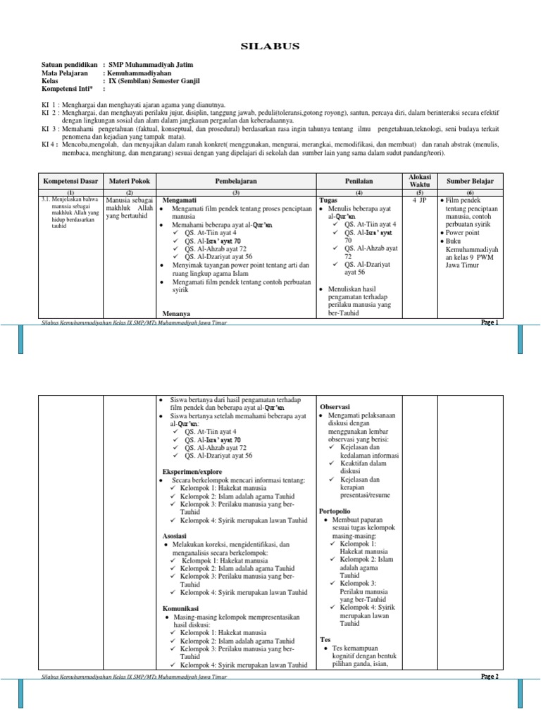
Silabus kemuhammadiyahan kelas 9 smp/mts semester ganjil bab i manusia sebagai makhluk allah yang bertauhid kompetensi dasar:. Download rpp kemuhammadiyahan smp kelas 9 pdf (6.00 mb. Tentunya silabus k13 smp kelas 9 bisa digunakan baik untuk semester 1 dan 2 dan juga telah dilengkapi dengan kbm, rpp k13, program semester (promes) dan program tahunan (prota) sebagai pendukung perangkat pembelajaran. 0 2 12 promes tik smp kelas 7,8,9 semester 1 dan 2. Silabus pkn smp kelas 7,8,9 semester 1 dan 2.

Soal Ulangan Semester Genap Kemuhammadiyahan Kelas 10 Kanal Jabar
Soal Ulangan Semester Genap Kemuhammadiyahan Kelas 10 Kanal Jabar from imgv2-2-f.scribdassets.com
Tentunya silabus k13 smp kelas 9 bisa digunakan baik untuk semester 1 dan 2 dan juga telah dilengkapi dengan kbm, rpp k13, program semester (promes) dan program tahunan (prota) sebagai pendukung perangkat pembelajaran. Download rpp kemuhammadiyahan smp kelas 9 pdf (6.00 mb. Silabus kemuhammadiyahan kelas 9 smp/mts semester ganjil bab i manusia sebagai makhluk allah yang bertauhid kompetensi dasar:. 1 4 68 silabus sbk smp kelas 7,8,9 semester 1 dan 2. Silahkan download di link dibawah ini secara gratis perangkat pembelajaran kurikulum 2013 revisi 2020 format 1 lembar lengkap. Demikianlah silabus k13 matematika smp kelas 7,8 dan 9 untuk semester 1 dan semester 2 yang bisa kami bagikan. Download rpp 3 4 kelas vii smp ii. Silabus dan rpp kemuhammadiyahan smp.

Selain itu silabus k13 agama kristen protestan kelas 9 ini sudah merupakan silabus revisi terbaru.

Download rpp ips smp kelas 7 8 9 kurikulum 2013 revisi 2017 dan revisi 2020 1 lembar semester 1 2 ganjil dan genap lengkap silabus promes prota dll download rpp 1. Bagi bapak dan ibu guru yang mengajar mata pelajaran pendidikan agama kristen di kelas 9, maka postingan ini kiranya bisa membantu bapak dan ibu guru yang. Silabus ips kelas 9 smp tahun 2021. Perangkat pembelajaran silabus prakarya k13 kelas 9 smp semester 1 dan 2 revisi tahun 2020 ini masih sangat jauh dari kata sempurna. Demikianlah silabus k13 pendidikan agama islam dan budi pekerti smp kelas 7,8 dan 9 untuk semester 1 dan semester 2 yang bisa kami bagikan. Silabus bahasa indonesia smp kelas 9 semester ganjil kurikulum 2013 tahun pelajaran 2020 2021 didno76 com. Perlu anda ketahui bahwa silabus ips kelas 9 smp ini adalah salah satu komponen penting dalam bentuk perangkat. Kkm tik smp kelas 7, 8, 9 ktsp. You can visit your state or local health department's website to look for the latest local information on testing. Pada tahun 2017 ini mata pelajaran ciri khusus ismuba (al islam, kemuhammadiyahan dan bahasa arab) di sekolah muhammadiyah mempunyai kurikulum 2013 ismuba. Dec 12, 2012 · silabus. Adapun perangkat pembelajaran kelas 9 smp kurikulum 2013 dapat downlod dibawah ini. 29 full pdfs related to this paper.

Word bisa dilihat di halaman kemuhammadiyahan. Kurikulum 2013 ismuba bisa download dibawah ini. Rpp dan silabus bahasa indonesia sd mi kelas 4 5 6 ktsp (jane hughes). Silabus bahasa indonesia smp kelas 9 semester ganjil kurikulum 2013 tahun pelajaran 2020 2021 didno76 com. Jadi saya berharap bagi bapak/ibu guru di harapkan dapat selalu di revisi sesuai dengan acuan revisi kurikulum 2013 yang berlaku sehingga dapat sesuai dengan harapan pendidikan saat ini.

Silabus K13 Smp Format Word 9 Komponen Tahun 2021 Info Pendidikan Terbaru
Silabus K13 Smp Format Word 9 Komponen Tahun 2021 Info Pendidikan Terbaru from 1.bp.blogspot.com
Cek dapodik, cek sk tpp, cek validitas data, cara perbaikan data guru. Download rpp kemuhammadiyahan smp kelas vii doc. Power point bisa langsung di download, sedangkan untuk materi berupa ms. Kurikulum 2013 ismuba bisa download dibawah ini. Word bisa dilihat di halaman kemuhammadiyahan. Selain itu silabus k13 agama kristen protestan kelas 9 ini sudah merupakan silabus revisi terbaru. Hai sahabat ilmuguru.org, dalam kesempatan kali ini admin ingin share perangkat pembelajaran berupa silabus ips format 8 kolom tingkat smp/mts kelas ix semester 1 dan 2 kurikulum 2013 tahun 2021/2022. You can visit your state or local health department's website to look for the latest local information on testing.

Sebagai penyelarasan dengan kurikulum dinas pendidikan dan kementerian agama.

Akan tetapi juga sama dengan materi di tingkat smp dan juga perguruan tinggi muhammadiyah. 1 15 185 skkd tik smp kelas 7,8,9 semester 1 dan 2. Demikianlah silabus k13 matematika smp kelas 7,8 dan 9 untuk semester 1 dan semester 2 yang bisa kami bagikan. Rpp ktsp bahasa indonesia smp kelas 7,8,9 semester 1 dan 2. Download silabus ki kd dan contoh rpp bahasa indonesia kelas 7 8 9 smp mts edisi revisi 2017 7pelangi com. Silabus ips kelas 9 smp tahun 2021. Power point bisa langsung di download, sedangkan untuk materi berupa ms. Silabus kurikulum 2013 ismuba sd, mi, smp, mts, sma, smk, dan ma. You can visit your state or local health department's website to look for the latest local information on testing. Hai sahabat ilmuguru.org, dalam kesempatan kali ini admin ingin share perangkat pembelajaran berupa silabus ips format 8 kolom tingkat smp/mts kelas ix semester 1 dan 2 kurikulum 2013 tahun 2021/2022. Pada postingan yang telah lalu saya telah berbagi silabus untuk smp kelas 8. Silabus adalah sebuah kegiatan belajar pada tingkat kurikulum atau sebuah rencana pembelajaran untuk mata pelajaran dengan topik yang tertentu. Cek dapodik, cek sk tpp, cek validitas data, cara perbaikan data guru.

Demikianlah silabus k13 matematika smp kelas 7,8 dan 9 untuk semester 1 dan semester 2 yang bisa kami bagikan. Tujuan utama kami disini akan membahas tentang silabus untuk anda. Download rpp dan silabus k13 (revisi 2017) kelas vii smp. Cek dapodik, cek sk tpp, cek validitas data, cara perbaikan data guru. Pada postingan yang telah lalu saya telah berbagi silabus untuk smp kelas 8.

Sk Kd Kemuh Doc Document
Sk Kd Kemuh Doc Document from demo.vdokumen.com
Tujuan utama kami disini akan membahas tentang silabus untuk anda. Download rpp kemuhammadiyahan smp kelas vii doc. Jadi saya berharap bagi bapak/ibu guru di harapkan dapat selalu di revisi sesuai dengan acuan revisi kurikulum 2013 yang berlaku sehingga dapat sesuai dengan harapan pendidikan saat ini. Silabus pkn smp kelas 7,8,9 semester 1 dan 2. Rpp kemuhammadiyahan smp kelas 7. Silabus ips terpadu yang akan saya bagikan ini merupakan silabus kurikulum 2013 hasil revisi terbaru dan di buat dalam format word dengan tujuan agar pengguna dapat menggunakannya dengan mudah. Pada postingan yang telah lalu saya telah berbagi silabus untuk smp kelas 8. 0 0 4 prota tik smp kelas 7,8,9 semester 1 dan 2.

Silabus smp/mts semester 1 dan 2 revisi 2018 merupakan bahan ajar dalam memudahkan siswa untuk merencanakan pembelajaran dengan kemampuan yang di miliki.

1 15 185 skkd tik smp kelas 7,8,9 semester 1 dan 2. Rpp kemuhammadiyahan smp kelas 7. Silabus ips terpadu kelas 9 smp kurikulum 2013yang akan saya berikan ini dapat langsung di gunakan untuk melengkapi perangkat pembelajaran anda di sekolah serta dapat dijadikan sebagai bahan referensi. Silabus dan rpp kemuhammadiyahan smp. Silabus yang akan saya berikan sudah memuat materi semester 1 hingga materi semester 2. Cek dapodik, cek sk tpp, cek validitas data, cara perbaikan data guru. Bapak dan ibu guru tentu harus mempersiapkan kembali perangkat pembelajarannya. Artikel ini, tempat saya berbagi silabus smp kelas 9 update terbaru 2021 lengkap. Dec 12, 2012 · silabus. Power point bisa langsung di download, sedangkan untuk materi berupa ms. Tentunya silabus k13 smp kelas 9 bisa digunakan baik untuk semester 1 dan 2 dan juga telah dilengkapi dengan kbm, rpp k13, program semester (promes) dan program tahunan (prota) sebagai pendukung perangkat pembelajaran. Silabus bina bahasa indonesia kelas 1 sd soalujian net. Bagi bapak dan ibu guru yang mengajar mata pelajaran pendidikan agama kristen di kelas 9, maka postingan ini kiranya bisa membantu bapak dan ibu guru yang.

Posting Komentar untuk "Silabus Kemuhammadiyahan Smp Kelas 9 Semester 2 : Contoh Essay Kemuhammadiyahan Amat : Word bisa dilihat di halaman kemuhammadiyahan."